In this case study, we hear from Jonathon Riddell (School of Physics), who has been utilising BlueBEAR to study strongly correlated quantum systems out of equilibrium.

My name is Jonathon Riddell, I am a fellow of non-equilibrium physics, in the Theoretical Physics Group.
I am working on several projects, all of them with heavy reliance on BlueBEAR. In general I study strongly correlated quantum systems out of equilibrium.
Contexts for this research range from models of magnetism, metals or even simulating quantum circuits (those things that the quantum computers should end up running, but for now, we use classical computers). The key aspect that makes these problems computationally very challenging is really in the memory demands of the problems. The typical degree of freedom we study is the “qubit”. For every qubit we insert into the numerics, we have to either double or quadruple the memory of the program, depending on what task we are doing.
having high memory (512 GB) nodes has been key in simulating the physics we care about
With memory scaling so poorly, having high memory (512 GB) nodes has been key in simulating the physics we care about. Once you are manipulating data as large as 100s of GB, you also need fast compute to properly update the memory as you proceed in an algorithm. To this end we are typically reserving 200-400 GB of memory along with 64+ cores, which are readily available on BlueBEAR.

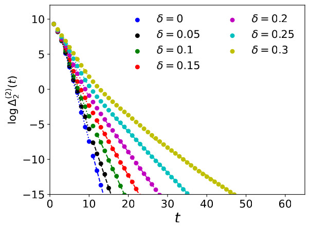
A recent project we are quite excited about is creating efficient algorithms to prepare “random states” on quantum computers. Think of this as being equivalent to preparing random numbers on a classical computer, except, the community still isn’t quite sure how to efficiently do this. Here we’ve had to study the spectrum of a non-hermitian matrix for 32 qubits, as well as do dynamics. You can see this in the figure above. The parameter δ controls how quickly we prepare the random state on the quantum computer (data generated on BlueBEAR). Δ here quantifies how far we are from the statistics we are interested in.
We were so pleased to hear of how Jonathon was able to make use of what is on offer from Advanced Research Computing, particularly to hear of how he has made use of BlueBEAR HPC – if you have any examples of how it has helped your research then do get in contact with us at bearinfo@contacts.bham.ac.uk.
We are always looking for good examples of use of High Performance Computing to nominate for HPC Wire Awards – see our recent winner for more details.
Get in touch with Jonathon
YouTube: https://www.youtube.com/@JonathonRiddell
LinkedIn: https://www.linkedin.com/in/jonathon-riddell?utm_source=share&utm_campaign=share_via&utm_content=profile&utm_medium=android_app
BlueSky: https://bsky.app/profile/jonathon-riddell.bsky.social